Matura 2025 matematyka rozszerzona: ODPOWIEDZI do wszystkich zadań, gotowe rozwiązania matury z matematyki rozszerzonej - Formuła 2023 [12.05.2025] - Super Express
Matura 2025 matematyka rozszerzona: ODPOWIEDZI do wszystkich zadań, gotowe rozwiązania matury z matematyki rozszerzonej - Formuła 2023 [12.05.2025]

Matura 2025 matematyka rozszerzona: ODPOWIEDZI do wszystkich zadań, gotowe rozwiązania matury z matematyki rozszerzonej - Formuła 2023 [12.05.2025]

Rozwiązania sugerowane - mogą być błędne!
Autor: CKE; Super Express
Rozwiń
Matura 2025 matematyka rozszerzona: ODPOWIEDZI do wszystkich zadań, gotowe rozwiązania matury z matematyki rozszerzonej - Formuła 2023 [12.05.2025]

Matura 2025 matematyka rozszerzona: ODPOWIEDZI do wszystkich zadań, gotowe rozwiązania matury z matematyki rozszerzonej - Formuła 2023 [12.05.2025]

Rozwiązania sugerowane - mogą być błędne!
Autor: CKE; Super Express
Rozwiń
Matura 2025 matematyka rozszerzona: ODPOWIEDZI do wszystkich zadań, gotowe rozwiązania matury z matematyki rozszerzonej - Formuła 2023 [12.05.2025]

Matura 2025 matematyka rozszerzona: ODPOWIEDZI do wszystkich zadań, gotowe rozwiązania matury z matematyki rozszerzonej - Formuła 2023 [12.05.2025]

Rozwiązania sugerowane - mogą być błędne!
Autor: CKE; Super Express
Rozwiń
Matura 2025 matematyka rozszerzona: ODPOWIEDZI do wszystkich zadań, gotowe rozwiązania matury z matematyki rozszerzonej - Formuła 2023 [12.05.2025]

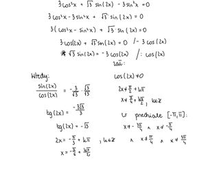
Matura 2025 matematyka rozszerzona: ODPOWIEDZI do wszystkich zadań, gotowe rozwiązania matury z matematyki rozszerzonej - Formuła 2023 [12.05.2025]

Autor: Matematyka Gryzie/ Archiwum prywatne
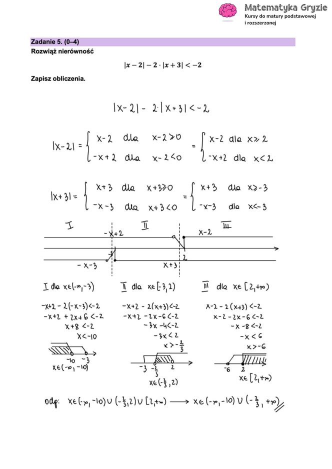
Matura 2025 matematyka rozszerzona: ODPOWIEDZI do wszystkich zadań, gotowe rozwiązania matury z matematyki rozszerzonej - Formuła 2023 [12.05.2025]

Matura 2025 matematyka rozszerzona: ODPOWIEDZI do wszystkich zadań, gotowe rozwiązania matury z matematyki rozszerzonej - Formuła 2023 [12.05.2025]

Autor: Matematyka Gryzie/ Archiwum prywatne
Matura 2025 matematyka rozszerzona: ODPOWIEDZI do wszystkich zadań, gotowe rozwiązania matury z matematyki rozszerzonej - Formuła 2023 [12.05.2025]

Matura 2025 matematyka rozszerzona: ODPOWIEDZI do wszystkich zadań, gotowe rozwiązania matury z matematyki rozszerzonej - Formuła 2023 [12.05.2025]

Autor: Matematyka Gryzie/ Archiwum prywatne
Matura 2025 matematyka rozszerzona: ODPOWIEDZI do wszystkich zadań, gotowe rozwiązania matury z matematyki rozszerzonej - Formuła 2023 [12.05.2025]

Matura 2025 matematyka rozszerzona: ODPOWIEDZI do wszystkich zadań, gotowe rozwiązania matury z matematyki rozszerzonej - Formuła 2023 [12.05.2025]

Autor: Matematyka Gryzie/ Archiwum prywatne
Matura 2025 matematyka rozszerzona: ODPOWIEDZI do wszystkich zadań, gotowe rozwiązania matury z matematyki rozszerzonej - Formuła 2023 [12.05.2025]

Matura 2025 matematyka rozszerzona: ODPOWIEDZI do wszystkich zadań, gotowe rozwiązania matury z matematyki rozszerzonej - Formuła 2023 [12.05.2025]

Autor: Matematyka Gryzie/ Archiwum prywatne
Matura 2025 matematyka rozszerzona: ODPOWIEDZI do wszystkich zadań, gotowe rozwiązania matury z matematyki rozszerzonej - Formuła 2023 [12.05.2025]

Matura 2025 matematyka rozszerzona: ODPOWIEDZI do wszystkich zadań, gotowe rozwiązania matury z matematyki rozszerzonej - Formuła 2023 [12.05.2025]

Autor: Matematyka Gryzie/ Archiwum prywatne
Matura 2025 matematyka rozszerzona: ODPOWIEDZI do wszystkich zadań, gotowe rozwiązania matury z matematyki rozszerzonej - Formuła 2023 [12.05.2025]

Matura 2025 matematyka rozszerzona: ODPOWIEDZI do wszystkich zadań, gotowe rozwiązania matury z matematyki rozszerzonej - Formuła 2023 [12.05.2025]

Autor: Matematyka Gryzie/ Archiwum prywatne
Matura 2025 matematyka rozszerzona: ODPOWIEDZI do wszystkich zadań, gotowe rozwiązania matury z matematyki rozszerzonej - Formuła 2023 [12.05.2025]

Matura 2025 matematyka rozszerzona: ODPOWIEDZI do wszystkich zadań, gotowe rozwiązania matury z matematyki rozszerzonej - Formuła 2023 [12.05.2025]

Autor: Matematyka Gryzie/ Archiwum prywatne
Matura 2025 matematyka rozszerzona: ODPOWIEDZI do wszystkich zadań, gotowe rozwiązania matury z matematyki rozszerzonej - Formuła 2023 [12.05.2025]

Matura 2025 matematyka rozszerzona: ODPOWIEDZI do wszystkich zadań, gotowe rozwiązania matury z matematyki rozszerzonej - Formuła 2023 [12.05.2025]

Autor: Matematyka Gryzie/ Archiwum prywatne
Matura 2025 matematyka rozszerzona: ODPOWIEDZI do wszystkich zadań, gotowe rozwiązania matury z matematyki rozszerzonej - Formuła 2023 [12.05.2025]

Matura 2025 matematyka rozszerzona: ODPOWIEDZI do wszystkich zadań, gotowe rozwiązania matury z matematyki rozszerzonej - Formuła 2023 [12.05.2025]

Autor: Matematyka Gryzie/ Archiwum prywatne
Matura 2025 matematyka rozszerzona: ODPOWIEDZI do wszystkich zadań, gotowe rozwiązania matury z matematyki rozszerzonej - Formuła 2023 [12.05.2025]

Matura 2025 matematyka rozszerzona: ODPOWIEDZI do wszystkich zadań, gotowe rozwiązania matury z matematyki rozszerzonej - Formuła 2023 [12.05.2025]

Autor: Matematyka Gryzie/ Archiwum prywatne
Matura 2025 matematyka rozszerzona: ODPOWIEDZI do wszystkich zadań, gotowe rozwiązania matury z matematyki rozszerzonej - Formuła 2023 [12.05.2025]

Matura 2025 matematyka rozszerzona: ODPOWIEDZI do wszystkich zadań, gotowe rozwiązania matury z matematyki rozszerzonej - Formuła 2023 [12.05.2025]

Autor: Matematyka Gryzie/ Archiwum prywatne
Matura 2025 matematyka rozszerzona: ODPOWIEDZI do wszystkich zadań, gotowe rozwiązania matury z matematyki rozszerzonej - Formuła 2023 [12.05.2025]

Matura 2025 matematyka rozszerzona: ODPOWIEDZI do wszystkich zadań, gotowe rozwiązania matury z matematyki rozszerzonej - Formuła 2023 [12.05.2025]

Autor: Matematyka Gryzie/ Archiwum prywatne
Matura 2025 matematyka rozszerzona: ODPOWIEDZI do wszystkich zadań, gotowe rozwiązania matury z matematyki rozszerzonej - Formuła 2023 [12.05.2025]

Matura 2025 matematyka rozszerzona: ODPOWIEDZI do wszystkich zadań, gotowe rozwiązania matury z matematyki rozszerzonej - Formuła 2023 [12.05.2025]

Autor: Matematyka Gryzie/ Archiwum prywatne
Matura 2025 matematyka rozszerzona: ODPOWIEDZI do wszystkich zadań, gotowe rozwiązania matury z matematyki rozszerzonej - Formuła 2023 [12.05.2025]

Matura 2025 matematyka rozszerzona: ODPOWIEDZI do wszystkich zadań, gotowe rozwiązania matury z matematyki rozszerzonej - Formuła 2023 [12.05.2025]

Autor: Matematyka Gryzie/ Archiwum prywatne
Matura 2025 matematyka rozszerzona: ODPOWIEDZI do wszystkich zadań, gotowe rozwiązania matury z matematyki rozszerzonej - Formuła 2023 [12.05.2025]

Matura 2025 matematyka rozszerzona: ODPOWIEDZI do wszystkich zadań, gotowe rozwiązania matury z matematyki rozszerzonej - Formuła 2023 [12.05.2025]

Autor: Matematyka Gryzie/ Archiwum prywatne
Matura 2025 matematyka rozszerzona: ODPOWIEDZI do wszystkich zadań, gotowe rozwiązania matury z matematyki rozszerzonej - Formuła 2023 [12.05.2025]

Matura 2025 matematyka rozszerzona: ODPOWIEDZI do wszystkich zadań, gotowe rozwiązania matury z matematyki rozszerzonej - Formuła 2023 [12.05.2025]

Autor: Matematyka Gryzie/ Archiwum prywatne
Matura 2025 matematyka rozszerzona: ODPOWIEDZI do wszystkich zadań, gotowe rozwiązania matury z matematyki rozszerzonej - Formuła 2023 [12.05.2025]

Matura 2025 matematyka rozszerzona: ODPOWIEDZI do wszystkich zadań, gotowe rozwiązania matury z matematyki rozszerzonej - Formuła 2023 [12.05.2025]

Autor: Matematyka Gryzie/ Archiwum prywatne
Matura 2025 matematyka rozszerzona: ODPOWIEDZI do wszystkich zadań, gotowe rozwiązania matury z matematyki rozszerzonej - Formuła 2023 [12.05.2025]

Matura 2025 matematyka rozszerzona: ODPOWIEDZI do wszystkich zadań, gotowe rozwiązania matury z matematyki rozszerzonej - Formuła 2023 [12.05.2025]

Autor: Matematyka Gryzie/ Archiwum prywatne
Matura 2025 matematyka rozszerzona: ODPOWIEDZI do wszystkich zadań, gotowe rozwiązania matury z matematyki rozszerzonej - Formuła 2023 [12.05.2025]

Matura 2025 matematyka rozszerzona: ODPOWIEDZI do wszystkich zadań, gotowe rozwiązania matury z matematyki rozszerzonej - Formuła 2023 [12.05.2025]

Autor: Matematyka Gryzie/ Archiwum prywatne
Matura 2025 matematyka rozszerzona: ODPOWIEDZI do wszystkich zadań, gotowe rozwiązania matury z matematyki rozszerzonej - Formuła 2023 [12.05.2025]

Matura 2025 matematyka rozszerzona: ODPOWIEDZI do wszystkich zadań, gotowe rozwiązania matury z matematyki rozszerzonej - Formuła 2023 [12.05.2025]

Autor: Matematyka Gryzie/ Archiwum prywatne
Matura 2025 matematyka rozszerzona: ODPOWIEDZI do wszystkich zadań, gotowe rozwiązania matury z matematyki rozszerzonej - Formuła 2023 [12.05.2025]

Matura 2025 matematyka rozszerzona: ODPOWIEDZI do wszystkich zadań, gotowe rozwiązania matury z matematyki rozszerzonej - Formuła 2023 [12.05.2025]

Autor: Matematyka Gryzie/ Archiwum prywatne
Powrót
Matura 2025 matematyka rozszerzona: ODPOWIEDZI do wszystkich zadań, gotowe rozwiązania matury z matematyki rozszerzonej - Formuła 2023 [12.05.2025]
Matura 2025 matematyka rozszerzona: ODPOWIEDZI do wszystkich zadań, gotowe rozwiązania matury z matematyki rozszerzonej - Formuła 2023 [12.05.2025]
Matura 2025 matematyka rozszerzona: ODPOWIEDZI do wszystkich zadań, gotowe rozwiązania matury z matematyki rozszerzonej - Formuła 2023 [12.05.2025]
Matura 2025 matematyka rozszerzona: ODPOWIEDZI do wszystkich zadań, gotowe rozwiązania matury z matematyki rozszerzonej - Formuła 2023 [12.05.2025]
Matura 2025 matematyka rozszerzona: ODPOWIEDZI do wszystkich zadań, gotowe rozwiązania matury z matematyki rozszerzonej - Formuła 2023 [12.05.2025]
Matura 2025 matematyka rozszerzona: ODPOWIEDZI do wszystkich zadań, gotowe rozwiązania matury z matematyki rozszerzonej - Formuła 2023 [12.05.2025]
Matura 2025 matematyka rozszerzona: ODPOWIEDZI do wszystkich zadań, gotowe rozwiązania matury z matematyki rozszerzonej - Formuła 2023 [12.05.2025]
Matura 2025 matematyka rozszerzona: ODPOWIEDZI do wszystkich zadań, gotowe rozwiązania matury z matematyki rozszerzonej - Formuła 2023 [12.05.2025]
Matura 2025 matematyka rozszerzona: ODPOWIEDZI do wszystkich zadań, gotowe rozwiązania matury z matematyki rozszerzonej - Formuła 2023 [12.05.2025]
Matura 2025 matematyka rozszerzona: ODPOWIEDZI do wszystkich zadań, gotowe rozwiązania matury z matematyki rozszerzonej - Formuła 2023 [12.05.2025]
Matura 2025 matematyka rozszerzona: ODPOWIEDZI do wszystkich zadań, gotowe rozwiązania matury z matematyki rozszerzonej - Formuła 2023 [12.05.2025]
Matura 2025 matematyka rozszerzona: ODPOWIEDZI do wszystkich zadań, gotowe rozwiązania matury z matematyki rozszerzonej - Formuła 2023 [12.05.2025]
Matura 2025 matematyka rozszerzona: ODPOWIEDZI do wszystkich zadań, gotowe rozwiązania matury z matematyki rozszerzonej - Formuła 2023 [12.05.2025]
Matura 2025 matematyka rozszerzona: ODPOWIEDZI do wszystkich zadań, gotowe rozwiązania matury z matematyki rozszerzonej - Formuła 2023 [12.05.2025]
Matura 2025 matematyka rozszerzona: ODPOWIEDZI do wszystkich zadań, gotowe rozwiązania matury z matematyki rozszerzonej - Formuła 2023 [12.05.2025]
Matura 2025 matematyka rozszerzona: ODPOWIEDZI do wszystkich zadań, gotowe rozwiązania matury z matematyki rozszerzonej - Formuła 2023 [12.05.2025]
Matura 2025 matematyka rozszerzona: ODPOWIEDZI do wszystkich zadań, gotowe rozwiązania matury z matematyki rozszerzonej - Formuła 2023 [12.05.2025]
Matura 2025 matematyka rozszerzona: ODPOWIEDZI do wszystkich zadań, gotowe rozwiązania matury z matematyki rozszerzonej - Formuła 2023 [12.05.2025]
Matura 2025 matematyka rozszerzona: ODPOWIEDZI do wszystkich zadań, gotowe rozwiązania matury z matematyki rozszerzonej - Formuła 2023 [12.05.2025]
Matura 2025 matematyka rozszerzona: ODPOWIEDZI do wszystkich zadań, gotowe rozwiązania matury z matematyki rozszerzonej - Formuła 2023 [12.05.2025]
Matura 2025 matematyka rozszerzona: ODPOWIEDZI do wszystkich zadań, gotowe rozwiązania matury z matematyki rozszerzonej - Formuła 2023 [12.05.2025]
Matura 2025 matematyka rozszerzona: ODPOWIEDZI do wszystkich zadań, gotowe rozwiązania matury z matematyki rozszerzonej - Formuła 2023 [12.05.2025]
Matura 2025 matematyka rozszerzona: ODPOWIEDZI do wszystkich zadań, gotowe rozwiązania matury z matematyki rozszerzonej - Formuła 2023 [12.05.2025]
Matura 2025 matematyka rozszerzona: ODPOWIEDZI do wszystkich zadań, gotowe rozwiązania matury z matematyki rozszerzonej - Formuła 2023 [12.05.2025]
Matura 2025 matematyka rozszerzona: ODPOWIEDZI do wszystkich zadań, gotowe rozwiązania matury z matematyki rozszerzonej - Formuła 2023 [12.05.2025]
Zamknij reklamę za s.
X
Zamknij reklamę
...
powiększone zdjęcie
Warszawskie Targi Obronne 3
Fast TV
email