Matura 2023: matematyka rozszerzona formuła 2023. Arkusze CKE i odpowiedzi. Masa substancji mniejsza od 1,5 g po 5 dobach [FORMUŁA 2023]

2023-05-12 17:44

Matura 2023 z matematyki rozszerzonej formuła 2023. W tym artykule opublikujemy odpowiedzi i arkusze CKE z formuły 2023. W piątek, 13 maja maturzyści przystąpili do egzaminu z matematyki na poziomie rozszerzonym formuła 2023. To kolejny dzień matury 2023. Punktualnie o godzinie 9:00, uczniowie otrzymali arkusze zadań z pytaniami przygotowanymi przez Centralną Komisję Egzaminacyjną. Na napisanie egzaminu przeznaczono 180 minut. W tym artykule opublikujemy arkusz CKE z matury 2023 z matematyki w nowej formule oraz odpowiedzi naszego eksperta. Matura 2023: matematyka (formuła 2023).

Arkusz CKE i odpowiedzi naszego eksperta z matury 2023 z matematyki rozszerzonej znajdziesz w galerii - KLIKNIJ W ZDJĘCIE PONIŻEJ!

Matura 2023: matematyka rozszerzona formuła 2023. Tu znajdziesz arkusze CKE, pytania i odpowiedzi! [12.05.2023]

Matura 2023: matematyka rozszerzona formuła 2023. W piątek, 12 maja o godzinie 9:00 maturzyści przystąpili do matury 2023 z matematyki w formule 2023. Matura z matematyki rozszerzonej jest kolejnym egzaminem dodatkowym, na który w tym roku zdecydowało się ok. 76,9 tys. tegorocznych absolwentów liceów ogólnokształcących, techników i szkół branżowych II stopnia. To siódmy dzień zmagań z egzaminem dojrzałości. Jakie pytania i zadania znajdą się w arkuszach przygotowanych przez Centralną Komisję Egzaminacyjną na maturze 2023 z matematyki rozszerzonej w formule 2023? Jakie są odpowiedzi do poszczególnych zadań?

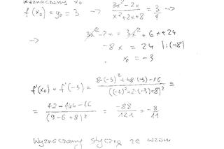
Znamy już pierwsze informacje od maturzystów o tym, co było w arkuszu CKE z matematyki rozszerzonej. Jak wynika z pierwszych relacji zdających, na maturze rozszerzonej z matematyki rozszerzonej były m.in. zadanie dotyczące prawdopodobieństwa. Było prawdopodobieństwo na kulach. Że jest 7 kul, pięć białych i dwie czarne. Losujemy jednocześnie dwie kule bez zwracania. Następnie z pozostałych jeszcze jedną kulę. I obliczyć prawdopodobieństwo wylosowania czarnej kuli w drugim losowaniu.

Pojawiła się także zadanie z Tomkiem. Według relacji zdających, poprawna odpowiedź to: 1/64.

Niektórzy maturzyści dopytują także o rezultat w równaniu trygonometrycznym. 

Większość odpowiedziała, że poprawny wynik to: sin2x=1/2

Aby być na bieżąco, zachęcamy do śledzenia naszej relacji NA ŻYWO: Matura 2023: matematyka rozszerzona. Odpowiedzi i arkusz CKE. "W pojemniku jest siedem kul". Matura formuła 2015 i 2023 [RELACJA NA ŻYWO]

Matura 2023: matematyka rozszerzona formuła 2023. Tu znajdziesz Arkusz CKE i odpowiedzi [12 MAJA 2023]

W naszym artykule będziecie mogli sprawdzić, jak poszło wam na maturze 2023 z matematyk rozszerzonej formuła 2023. Informacje będziemy aktualizować informacje na bieżąco. Zadania z matury z matematyki rozszerzonej rozwiązuje dla "Super Expressu" nasz ekspert, Dariusz Kulma, Nauczyciel Roku, który od lat pomaga uczniom w przygotowaniach do matury za pośrednictwem swojej strony www.jakzdacmaturezmatematyki.pl.

Zanim pojawią się oficjalne odpowiedzi, te publikowane tutaj są wyłącznie sugerowane - nie ma pewności, że są prawidłowe. Jednak na oficjalny klucz odpowiedzi do arkusza CKE trzeba będzie jeszcze poczekać.

Sonda
Czy stresujesz bądź stresowałeś się swoją maturą?
Matura z matematyki w Zespole Szkół Salezjańskich w Łodzi

Player otwiera się w nowej karcie przeglądarki