Egzamin próbny ósmoklasisty matematyka 2026 – odpowiedzi, rozwiązania, arkusze CKE

2026-01-13 11:09

Egzamin próbny ósmoklasisty 2026 z matematyki wzbudza duże zainteresowanie uczniów i rodziców. W tym artykule publikujemy arkusz CKE, a także sugerowane odpowiedzi i rozwiązania zadań z matematyki, które pozwalają szybko sprawdzić wynik i lepiej przygotować się do właściwego egzaminu ósmoklasisty.

Egzamin próbny ósmoklasisty z matematyki w 2026 roku to dla wielu uczniów pierwszy realny test przed majowym sprawdzianem. Największe zainteresowanie budzą arkusze CKE, a także odpowiedzi i rozwiązania zadań, które pozwalają szybko zweryfikować swoje wyniki. W tym materiale publikujemy arkusz próbnego egzaminu ósmoklasisty z matematyki 2026 oraz sugerowane odpowiedzi i rozwiązania. Sprawdź jak ci poszło.

Czytaj też: Próbny egzamin ósmoklasisty matematyka: ODPOWIEDZI + ROZWIĄZANIA, arkusze CKE do ściągnięcia PDF, JPG

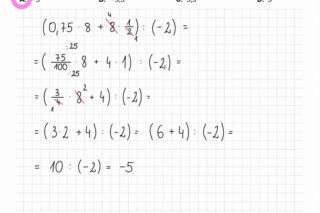
Arkusz egzaminacyjny składa się z 20–21 zadań, za które łącznie można zdobyć 30 punktów. Uczniowie rozwiązują zarówno zadania zamknięte, jak i otwarte, wymagające zapisania obliczeń i pełnego toku rozumowania.

Egzamin próbny ósmoklasisty matematyka 2026 - arkusze, odpowiedzi, rozwiązania

Analiza rozwiązań próbnego egzaminu z matematyki pozwala lepiej zrozumieć wymagania egzaminacyjne i sposób oceniania CKE. W zadaniach otwartych punktowane jest nie tylko poprawne rozwiązanie końcowe, ale także logiczny tok myślenia i poprawne etapy obliczeń. To cenna wskazówka przed egzaminem ósmoklasisty w maju.

Drogowskazy
Dlaczego uczniowe tak bardzo boją się matematyki? DROGOWSKAZY

Player otwiera się w nowej karcie przeglądarki